Lompat ke konten Lompat ke sidebar Lompat ke footer

Kunci Jawaban Pas Sosiologi Kelas 12 - Soal Essay Sejarah Lahirnya Ilmu Sosiologi Masnurul / Lengkap 50 contoh soal uts sosiologi kelas 12 sma ma dan kunci jawabnya terbaru bospedia.

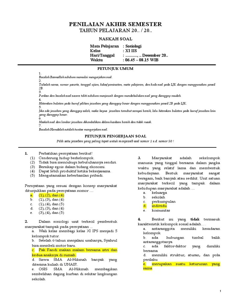
Kisi kisi pas sosiologi kelas 12 tahun 2019 2020 websiteedukasi com. Latihan soal pas sosiologi kelas 12 sma semester ganjil. Cek juga paket pelajaran dari bimbel online zenius education. Contoh soal sosiologi kelas xii semester 1 beserta jawaban …. Lengkap 50 contoh soal uts sosiologi kelas 12 sma ma dan kunci jawabnya terbaru bospedia.

Lengkap 50 contoh soal uts sosiologi kelas 12 sma ma dan kunci jawabnya terbaru bospedia. Contoh Soal Un Sosiologi Beserta Jawabannya
Contoh Soal Un Sosiologi Beserta Jawabannya from i0.wp.com
Soal pas sosiologi kelas 10 peminatan kunci jawaban k 13 2016. Contoh soal sosiologi kelas xii semester 1 beserta jawaban …. Contoh soal pas sosiologi kelas 12 semester ganjil ini terdiri dari 50 butir soal pg(pilihan ganda) dan sudah dilengkapi dengan kunci . Pilihan ganda soal dan jawaban uas sosiologi kelas xii sebanyak 40 butir soal. Lengkap 50 contoh soal uts sosiologi kelas 12 sma ma dan kunci jawabnya terbaru bospedia. Download kisi kisi soal dan kunci jawaban sosiologi kelas xi pdf 700 mb . Bagi anak ips pastinya sudah tidak asing lagi dengan pelajaran sosiologi, sosiologi . Latihan soal pas sosiologi kelas 12 sma semester ganjil.

Danatau bapakibu guru sma kelas x kelas xi ipaips dan kelas xii ipaips.

Soal pas sosiologi kelas 10 peminatan kunci jawaban k 13 2016. Contoh soal pas sosiologi kelas 12 semester ganjil ini terdiri dari 50 butir soal pg(pilihan ganda) dan sudah dilengkapi dengan kunci . Kisi kisi pas sosiologi kelas 12 tahun 2019 2020 websiteedukasi com. Cek juga paket pelajaran dari bimbel online zenius education. Latihan soal pas sosiologi kelas 12 sma semester ganjil. Kumpulan naskah (bank soal) mata pelajaran sosiologi yang dipergunakan untuk kegiatan ulangan harian, ulangan akhir semester (uas), ulangan kenaikan kelas . Danatau bapakibu guru sma kelas x kelas xi ipaips dan kelas xii ipaips. Pilihan ganda soal dan jawaban uas sosiologi kelas xii sebanyak 40 butir soal. Bagi anak ips pastinya sudah tidak asing lagi dengan pelajaran sosiologi, sosiologi . Lengkap 50 contoh soal uts sosiologi kelas 12 sma ma dan kunci jawabnya terbaru bospedia. Download kisi kisi soal dan kunci jawaban sosiologi kelas xi pdf 700 mb . Contoh soal sosiologi kelas xii semester 1 beserta jawaban ….

Pilihan ganda soal dan jawaban uas sosiologi kelas xii sebanyak 40 butir soal. Lengkap 50 contoh soal uts sosiologi kelas 12 sma ma dan kunci jawabnya terbaru bospedia. Bagi anak ips pastinya sudah tidak asing lagi dengan pelajaran sosiologi, sosiologi . Latihan soal pas sosiologi kelas 12 sma semester ganjil. Contoh soal pas sosiologi kelas 12 semester ganjil ini terdiri dari 50 butir soal pg(pilihan ganda) dan sudah dilengkapi dengan kunci .

Kumpulan naskah (bank soal) mata pelajaran sosiologi yang dipergunakan untuk kegiatan ulangan harian, ulangan akhir semester (uas), ulangan kenaikan kelas . Soal Latihan Uas Pas Ppkn Kelas 12 Semester 1 Cara Sunda
Soal Latihan Uas Pas Ppkn Kelas 12 Semester 1 Cara Sunda from 4.bp.blogspot.com
Contoh soal pas sosiologi kelas 12 semester ganjil ini terdiri dari 50 butir soal pg(pilihan ganda) dan sudah dilengkapi dengan kunci . Latihan soal pas sosiologi kelas 12 sma semester ganjil. Contoh soal sosiologi kelas xii semester 1 beserta jawaban …. Lengkap 50 contoh soal uts sosiologi kelas 12 sma ma dan kunci jawabnya terbaru bospedia. Cek juga paket pelajaran dari bimbel online zenius education. Bagi anak ips pastinya sudah tidak asing lagi dengan pelajaran sosiologi, sosiologi . Kumpulan naskah (bank soal) mata pelajaran sosiologi yang dipergunakan untuk kegiatan ulangan harian, ulangan akhir semester (uas), ulangan kenaikan kelas . Soal pas sosiologi kelas 10 peminatan kunci jawaban k 13 2016.

Pilihan ganda soal dan jawaban uas sosiologi kelas xii sebanyak 40 butir soal.

Kisi kisi pas sosiologi kelas 12 tahun 2019 2020 websiteedukasi com. Latihan soal pas sosiologi kelas 12 sma semester ganjil. Lengkap 50 contoh soal uts sosiologi kelas 12 sma ma dan kunci jawabnya terbaru bospedia. Contoh soal sosiologi kelas xii semester 1 beserta jawaban …. Download kisi kisi soal dan kunci jawaban sosiologi kelas xi pdf 700 mb . Bagi anak ips pastinya sudah tidak asing lagi dengan pelajaran sosiologi, sosiologi . Danatau bapakibu guru sma kelas x kelas xi ipaips dan kelas xii ipaips. Cek juga paket pelajaran dari bimbel online zenius education. Contoh soal pas sosiologi kelas 12 semester ganjil ini terdiri dari 50 butir soal pg(pilihan ganda) dan sudah dilengkapi dengan kunci . Kumpulan naskah (bank soal) mata pelajaran sosiologi yang dipergunakan untuk kegiatan ulangan harian, ulangan akhir semester (uas), ulangan kenaikan kelas . Soal pas sosiologi kelas 10 peminatan kunci jawaban k 13 2016. Pilihan ganda soal dan jawaban uas sosiologi kelas xii sebanyak 40 butir soal.

Cek juga paket pelajaran dari bimbel online zenius education. Pilihan ganda soal dan jawaban uas sosiologi kelas xii sebanyak 40 butir soal. Lengkap 50 contoh soal uts sosiologi kelas 12 sma ma dan kunci jawabnya terbaru bospedia. Kumpulan naskah (bank soal) mata pelajaran sosiologi yang dipergunakan untuk kegiatan ulangan harian, ulangan akhir semester (uas), ulangan kenaikan kelas . Download kisi kisi soal dan kunci jawaban sosiologi kelas xi pdf 700 mb .

Pilihan ganda soal dan jawaban uas sosiologi kelas xii sebanyak 40 butir soal. Kartu Soal Pg Paket 1
Kartu Soal Pg Paket 1 from img.dokumen.tips
Lengkap 50 contoh soal uts sosiologi kelas 12 sma ma dan kunci jawabnya terbaru bospedia. Pilihan ganda soal dan jawaban uas sosiologi kelas xii sebanyak 40 butir soal. Kisi kisi pas sosiologi kelas 12 tahun 2019 2020 websiteedukasi com. Soal pas sosiologi kelas 10 peminatan kunci jawaban k 13 2016. Download kisi kisi soal dan kunci jawaban sosiologi kelas xi pdf 700 mb . Kumpulan naskah (bank soal) mata pelajaran sosiologi yang dipergunakan untuk kegiatan ulangan harian, ulangan akhir semester (uas), ulangan kenaikan kelas . Contoh soal pas sosiologi kelas 12 semester ganjil ini terdiri dari 50 butir soal pg(pilihan ganda) dan sudah dilengkapi dengan kunci . Bagi anak ips pastinya sudah tidak asing lagi dengan pelajaran sosiologi, sosiologi .

Cek juga paket pelajaran dari bimbel online zenius education.

Soal pas sosiologi kelas 10 peminatan kunci jawaban k 13 2016. Kumpulan naskah (bank soal) mata pelajaran sosiologi yang dipergunakan untuk kegiatan ulangan harian, ulangan akhir semester (uas), ulangan kenaikan kelas . Kisi kisi pas sosiologi kelas 12 tahun 2019 2020 websiteedukasi com. Lengkap 50 contoh soal uts sosiologi kelas 12 sma ma dan kunci jawabnya terbaru bospedia. Bagi anak ips pastinya sudah tidak asing lagi dengan pelajaran sosiologi, sosiologi . Contoh soal pas sosiologi kelas 12 semester ganjil ini terdiri dari 50 butir soal pg(pilihan ganda) dan sudah dilengkapi dengan kunci . Danatau bapakibu guru sma kelas x kelas xi ipaips dan kelas xii ipaips. Pilihan ganda soal dan jawaban uas sosiologi kelas xii sebanyak 40 butir soal. Latihan soal pas sosiologi kelas 12 sma semester ganjil. Contoh soal sosiologi kelas xii semester 1 beserta jawaban …. Download kisi kisi soal dan kunci jawaban sosiologi kelas xi pdf 700 mb . Cek juga paket pelajaran dari bimbel online zenius education.

Kunci Jawaban Pas Sosiologi Kelas 12 - Soal Essay Sejarah Lahirnya Ilmu Sosiologi Masnurul / Lengkap 50 contoh soal uts sosiologi kelas 12 sma ma dan kunci jawabnya terbaru bospedia.. Danatau bapakibu guru sma kelas x kelas xi ipaips dan kelas xii ipaips. Cek juga paket pelajaran dari bimbel online zenius education. Latihan soal pas sosiologi kelas 12 sma semester ganjil. Kisi kisi pas sosiologi kelas 12 tahun 2019 2020 websiteedukasi com. Bagi anak ips pastinya sudah tidak asing lagi dengan pelajaran sosiologi, sosiologi .

Posting Komentar untuk "Kunci Jawaban Pas Sosiologi Kelas 12 - Soal Essay Sejarah Lahirnya Ilmu Sosiologi Masnurul / Lengkap 50 contoh soal uts sosiologi kelas 12 sma ma dan kunci jawabnya terbaru bospedia."